켈리공식 A to Z 10

[켈리공식 A to Z] 번외편. Proebsting's paradox

https://en.wikipedia.org/wiki/Proebsting%27s_paradox Proebsting's paradox - WikipediaFrom Wikipedia, the free encyclopedia Gambling paradox In probability theory, Proebsting's paradox is an argument that appears to show that the Kelly criterion can lead to ruin. Although it can be resolved mathematically, it raises some interesting issuesen.wikipedia.org그냥 여기에 있는 나무위키 번역하는 것 + 제 개인적인 생각을 설명 덧붙여서..

켈리공식 A to Z 2024.09.27

[켈리공식 A to Z] 번외편. 워런 버핏이 2번이나 주총에서 언급한 논문?(1)

해당 글은 시리즈로 연재되고 있으며이전 글을 안 읽으셨다면 이전의 글부터 먼저 읽어보길 추천드립니다.우선 켈리공식 A to Z 시리즈를 시작하기에 앞서... 버핏이 주식총회에서 2번이나 언급한 논문이 있다면 믿으시겠습니까?(1997, 2004)David durand가 1957년에 출간한 논문 Growth stocks and the petersburg paradox입니다.petersburg paradox는 St.petersburg paradox를 말합니다.해당 논문의 원리는 너무나도 간단하지만 중요한 원리를 담고 있습니다.우선 워런버핏은 이 논문을 인용하며 할인율보다 높은 성장률이 장기간 이어질 수 없다.반대로 말하면 높은 장기성장률은 수학적 가치가 무한대가 된다.성장률 추정치가 높아서 기업의 가치가 무한..

켈리공식 A to Z 2023.03.29

[켈리공식 A to Z] 번외편. 켈리공식의 장점과 단점(1)

해당 글은 시리즈로 연재되고 있으며 이전 글을 안 읽으셨다면 이전의 글부터 먼저 읽어보길 추천드립니다. 우선 켈리공식 A to Z 시리즈를 시작하기에 앞서... 다중자산의 분배를 설명하기 전 먼저 설명하면 더 좋겠다 싶은 것을 먼저 이야기하고 넘어가고자 합니다. (친구랑 켈리기준에 대해서 이야기를 하다가 먼저 정리를 하는게 좋을 거 같아서 언급함) 금융전문지 Willmot에 켈리기준(kelly criterion)에 대해서 장점과 단점을 잘 설명한 article이 실린적이 있습니다. Good and bad properties of the Kelly criterion(2010) 이란 article인데 검색을 하면 쉽게 pdf파일을 찾을 수 있습니다. 이 아티클의 저자 Leonard C. MacLean, Ed..

켈리공식 A to Z 2022.05.09

[켈리공식 A to Z] 2.4 내가 생각하는 켈리공식 사용 방법 - 정규분포와 현실 세상과의 비교와 활용

해당 글은 시리즈로 연재되고 있으며이전 글을 안 읽으셨다면 이전의 글부터 먼저 읽어보길 추천드립니다.우선 켈리공식 A to Z 시리즈를 시작하기에 앞서... 앞선 시간들에서 결국 우리가 모델링한 구조들은 아래 그림과 같은 구조로 단순화 한 것입니다.이러한 것들의 한계점을 잘 알고있다면? 실제 세상을 보는데 조금 더 유연한 태도를 가질 수 있을 것 입니다. 제가 생각하는 실제 세상(주식시장)의 특징은 크게 2가지로 볼 수 있겠습니다.그 때문에 일부는 정규분포적으로 예상 가능하게 흘러가지 않는다고 생각합니다. 그 2가지는? 1. 자금이 자유롭게 들어왔다가 빠질 수 있다. 바둑이나 체스처럼 모든 경우의 수가 고정되어 있는 세상이 아니라 외부변수에 영향을 받을 수 있는 세계입니다. 보통 과학계에서는 이를 열린계..

켈리공식 A to Z 2021.09.08

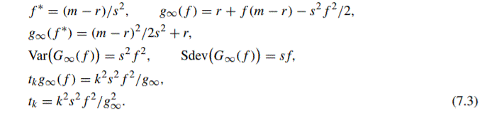
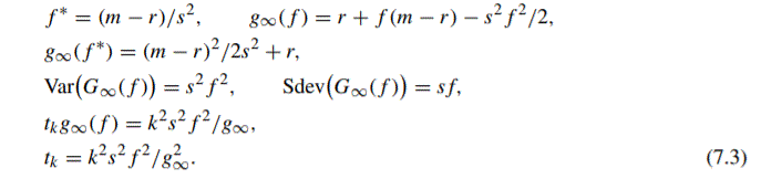
[켈리공식 A to Z] 2.2 연속 분포일 때의 켈리공식 - 에드워드 O. 소프의 논문의 핵심 살펴보기

해당 글은 시리즈로 연재되고 있으며 이전 글을 안 읽으셨다면 이전의 글부터 먼저 읽어보길 추천드립니다. 우선 켈리공식 A to Z 시리즈를 시작하기에 앞서... 개인적으로 여태까진 이산분포일때의 공식의 유도과정을 정말 쉽게 설명했다고 생각합니다. 하지만 연속분포일 때의 켈리공식의 유도과정을 좀 더 쉽게 설명하는 건 조금 더 생각이 필요할 것 같아서 번외편으로 다루도록 하겠습니다. 연속분포일때는 얼마 비중으로 투자해야하는지에 대한 내용은 켈리공식 보다는 켈리기준(kelly criterion)이라고 명명하는 것이 더 명확합니다. 증명과정은 에드워드 O. 소프가 2007년 논문으로 최종적으로 정리를 하였습니다. (블랙잭에는 관심이 없어서 저는 동전던지기(coin tossing)나 주식시장(stock marke..

켈리공식 A to Z 2021.09.06

[켈리공식 A to Z] 1-8. 로그함수를 이용해 켈리공식을 다시 정리해보기(곱 -> 합)

해당 글은 시리즈로 연재되고 있으며이전 글을 안 읽으셨다면 이전의 글부터 먼저 읽어보길 추천드립니다.우선 켈리공식 A to Z 시리즈를 시작하기에 앞서...   [켈리공식 A to Z] 1-6. 4가지 경우를 고려한 켈리공식해당 글은 시리즈로 연재되고 있으며 이전 글을 안 읽으셨다면 이전의 글부터 먼저 읽어보길 추천드립니다. 우선 켈리공식 A to Z 시리즈를 시작하기에 앞서... 켈리공식을 본격적으로 사용해 보gambari90.com 1.6의 경우에서 우리는 4가지 경우를 고려한 켈리공식을 통해 n번째의 경우도 물론 고려를 해서 모델링을 할 수 있었습니다. 다만? 좀 더 쉽게 생각 하기위해서 로그에 대해서 생각을 해 봅시다.우선 효용의 가치에 대해서 우선 먼저 생각해보도록 합시다. 같이 읽으면 좋은 글..

켈리공식 A to Z 2021.08.29

[켈리공식 A to Z] 1-4. 하프켈리(12.5%), 풀켈리(25%), 1.5배켈리(37.5%)를 비교해보기

해당 글은 시리즈로 연재되고 있으며 이전 글을 안 읽으셨다면 이전의 글부터 먼저 읽어보길 추천드립니다. 우선 켈리공식 A to Z 시리즈를 시작하기에 앞서... 지난시간에는 운만 작용하는 영역과 운과 실력이 같이 작용하는 영역을 함께 살펴 보았습니다. 지난 게임을 이어서 살펴보겠습니다.(확률 반반 이겼을때 2배 졌을때 다 잃는 게임) 그렇다면 같은 기하평균인데 우리는 12.5%만큼 베팅하는 것이 좋을까요? 37.5%만큼 베팅하는 것이 더 좋을까요? 아래의 그림은 게임 횟수가 증가함(x축)에 따라서 자본 수익이 어떻게 증가(y축)하는지 느낌적인 느낌을 표시하기 위해 그림판으로 그린 것입니다. 확률적인 변수가 있으므로(운이 좋다면 그냥 뭘해도 좋은 것, 안좋다면 뭘해도 나쁜 것) 해당 수익곡선대로 꼭 간다기..

켈리공식 A to Z 2021.07.08

[켈리공식 A to Z] 1-6. 4가지 경우를 고려한 켈리공식

해당 글은 시리즈로 연재되고 있으며 이전 글을 안 읽으셨다면 이전의 글부터 먼저 읽어보길 추천드립니다. 우선 켈리공식 A to Z 시리즈를 시작하기에 앞서... 켈리공식을 본격적으로 사용해 보겠습니다. 우선 이러한 상황이 있다고 4가지 경우로 나누어서 살펴보겠습니다.(4일간 주식시장을 관찰 결과 상하한가 가정 제외) A. 20%의 확률로 베팅금액 2배만큼 받는다. B. 30%의 확률로 베팅금액만큼 받는다. C. 40%의 확률로 베팅금액 절반만큼 잃는다. D. 10%의 확률로 베팅금액 전액을 잃는다. 이런 게임이 있다고 가정해 보겠습니다. 각 경우는 1가지 경우만 일어납니다. A사건이 일어났다면 B, C, D는 일어날 수 없다는 말입니다.(B 사건이 일어났다면 A, C, D는 안 일어남.....) 이는 독..

켈리공식 A to Z 2021.07.08

[켈리공식 A to Z] 1-5. 켈리공식을 본격 수식적으로 나타내보기

해당 글은 시리즈로 연재되고 있으며이전 글을 안 읽으셨다면 이전의 글부터 먼저 읽어보길 추천드립니다.우선 켈리공식 A to Z 시리즈를 시작하기에 앞서... 본격적으로 수식이 나오는 구간이니 여기서부턴 집중을 더 해주셔야 합니다.그 전에 이 영상을 보고 나시면 아래 내용이 더 이해가 잘 되실겁니다.https://youtu.be/C3Sdc_7e5Og?si=MQsw_dnLJMCoUr9d 예전에 예시를 든 확률 반반으로(50%:50%) 베팅금액의 이겼을 때 60%를 졌을 때 -40%가 되는 게임 다시 한번 생각해보겠습니다.자금을 베팅하는 비율에 따라 게임이 진행되는 것을 수식으로 표현해야 한다면?이 게임을 수학적으로는 어떻게 표현해야 할까요? 이렇게 한번 표시해보겠습니다.n = n회차 게임을 한다고 할 때 게..

켈리공식 A to Z 2021.06.15

[켈리공식 A to Z] 1-2. 켈리공식 본격적으로 사용해보자

해당 글은 시리즈로 연재되고 있으며이전 글을 안 읽으셨다면 이전의 글부터 먼저 읽어보길 추천드립니다.우선 켈리공식 A to Z 시리즈를 시작하기에 앞서...  앞선 글들에서는 확률적 우위가 전혀 없는 경우 게임에 참여해서는 안된다는 사실을 한번 더 강조했습니다. 이번에는 자발적 자원봉사자(자신의 돈을 퍼주는)가 개최하는 도박이 있다고 가정시(확률적 우위가 있는경우) 켈리공식을 어떻게 적용해야 할지를 생각해 보겠습니다. 자발적 자원봉사자가 내기를 제안합니다.이겼을 때와 졌을 때 확률은 각각 50%이겼을 때는 베팅한 돈의 2배를 가져가고(순배당률) 졌을 때는 모든 것을 잃는 게임을 하자고 한다면 여러분은 이 게임에 참여를 한다고 할 것입니다.(확률적 우위가 있기 때문에) 산술평균적인 기대값을 구해보겠습니다...

켈리공식 A to Z 2021.05.12