해당 글은 시리즈로 연재되고 있으며
이전 글을 안 읽으셨다면 이전의 글부터 먼저 읽어보길 추천드립니다.
우선 켈리공식 A to Z 시리즈를 시작하기에 앞서...
개인적으로 여태까진 이산분포일때의 공식의 유도과정을 정말 쉽게 설명했다고 생각합니다. 하지만 연속분포일 때의 켈리공식의 유도과정을 좀 더 쉽게 설명하는 건 조금 더 생각이 필요할 것 같아서 번외편으로 다루도록 하겠습니다.
연속분포일때는 얼마 비중으로 투자해야하는지에 대한 내용은 켈리공식 보다는 켈리기준(kelly criterion)이라고 명명하는 것이 더 명확합니다.
증명과정은 에드워드 O. 소프가 <THE KELLY CRITERION IN BLACKJACK SPORTS BETTING, AND THE STOCK MARKET> 2007년 논문으로 최종적으로 정리를 하였습니다. (블랙잭에는 관심이 없어서 저는 동전던지기(coin tossing)나 주식시장(stock market)에 대한 언급만 재미있게 봤었습니다.)
구글 등에 검색을 하면 논문은 쉽게 찾을 수 있으니 참고하시면 되겠습니다.
그냥 바로 연속분포 일 때의 결론부터 내겠습니다.
(앞으로의 분포가 계속 된다고 가정할 때)
최적의 투자비율 켈리기준(kelly criterion)은?
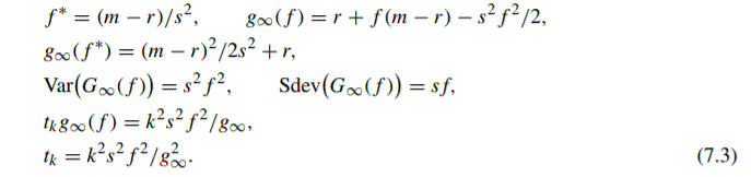
f* = ( m - r )/( s^2 ) 입니다.
f* : 켈리기준, 기하 수익률을 최대화 할수있는 투자비율 f의 최대값
m : 평균 수익률
r : 무위험 수익률
s : 표준편차
무위험 수익률이란 가만히 나둬도 안정적으로 돈을 벌 수 있는 류의 상품의 이자율을 의미합니다.(은행예금 같은...)
공식들을 총 정리해보면?

f 비율에 따른 기대수익률(g(f))은
g(f) = r + f(m-r) - s^2f^2/2
입니다.
(요것도 근사화가 좀 많이 되긴했는데... 그냥 넘어가겠습니다.)
여기에 f값에 max가 되는 최고비율인 f*인 (m - r) / (s^2)을 대입하면
g(f*) = ( m - r ) ^2 / 2s^2 + r 이 나오게 됩니다.
근사화가 조금 덜 된 내용은 천영록님의 레버리지 ETF에 대한 부분을 설명하고 있는 내용으로 참고하시는게 더 좋을 수 있습니다. (링크에서는 같은 내용을 다루고 있고 그냥 기호가 다를 뿐입니다. R: 레버리지 비율이 f 고 뮤가 m이라고 보면되고 저 식에선 무위험 이자율을 고려하지 않았습니다. r = 0 을 대입한 식과 다름이 없습니다.)
아래 해당 글 링크
↓↓↓↓↓↓
레버리지 ETF는 장투용이 아니다? => 가능하답니다
레버리지 ETF에 대한 좋은 글이 있어 의역하고 소개합니다. 요약하자면 레버리지가 장기적으로 투자 수...
blog.naver.com
에드워드 O. 소프의 논문에서는 S&P500의 역사적 데이터의 예시를 가지고 이야기를 합니다.
m = 0.11, s = 0.15, r = 0.06
즉 연간 평균 수익률 11%, 표준편차 15%, 무위험 수익률 6%일때 저 값을 대입하면 결국?
이때 최고가 되는 켈리비율 f* = 2.22.. 기대수익률 g(f*)은 = 0.115 이 전략의 표준편차는 = 0.33 가 됩니다.
켈리비율이 1을 넘는다는 것은 레버리지를 활용해라 라는 관점입니다. 2.22....가 나왔다는 것은 본인자금 100%에 122.222...%를 더 빌려 투자를 했을 때 최고의 기하수익률을 기대할 수 있다는 이야기입니다.
그렇게 122.222....%를 더 빌렸을 때 앞으로의 분포가 계속된다면 평균수익률은 고작 11%에서 11.5%로 증가 될 것이고 그때의 표준편차는 15%에서 33%까지 변할거란 이야기입니다.
굳이 평균수익률 0.5%를 키우기위해 변동성을 저렇게까지 키울 이유가 있을까요?(앞으로의 확률분포가 장기로가면 0.5%가 큰 차이가 될 것이지만 고작 0.5% 연간수익률을 위해? 일부러 변동성을 저렇게 표준편차가 33%나 되게끔 감내하여 키울만한 필요가 있을지는 다시 한번 생각해 볼 만한 내용입니다.)
최대 기하수익률만을 위해서 변동성을 마냥 키우다보면 나중엔 그 변동성이 증가함에 따라서 기하수익률도 나중엔 급격하게(드라마틱하게) 오르지 않는다는 것을 의미합니다.(위의 링크의 vol drag 현상이라고 보시면 됩니다.)
또 최대 기하수익률을 기대하는 f*인 222%가 아니라 그냥 100%만 투자를 한다고 f에 1(100%)을 대입하면
기대수익률 m이 나와야 하는게 맞지만? 변동성에 대한 고려때문에 g(1)은 m이 아니라 m - s^2/2 로 계산되는군요
하지만 s^2/2가 거의 0에 가깝긴 합니다. 그래서 g(1)이 그냥 m이라고 봐도 무방하긴 합니다.
왜 g(f)값에 f에 1(100%) 대입한 값과 평균 수익률 m이 같지 않냐라고 한다면?
이는 기하수익률 공식을 근사화 했기 때문에 그렇습니다.
근사화를 하면 각각 장점과 단점이 있습니다.
근사화 했다는 것의 의미는 데이터를 압축해서 정보의 양이 줄어든다는 것을 의미합니다.
근사화 함으써 정보의 양은 어떻게 줄어든다는 것일까요?
각각 30명이 있는 A, B 학급의 수학 성적 데이터가 있다고 가정해보겠습니다.
대충 학생들이 개개인별로
성적순으로 나열했을 때
95, 95, 95, 90, 90,................ 40, 30, 25(총 A학급 30명의 성적 데이터의 나열)
100, 95, 95, 90, 90, 90........ 40, 40, 40(총 B학급 30명의 성적 데이터 나열)
이 때 평균과 표준편차를 측정해보니
A학급의 평균 점수는 60점
B학급의 평균점수는 50점
A학급의 표준편차는 30
B학급의 표준편차는 20
라고 해보겠습니다.
이를 통해 A학급 학생들이 B학급 학생보다 평균적으로 시험을 잘쳤다는 사실을 알수있습니다.
그리고 표준편차로 보았을 때
A학급 학생들의 성적(학습능력)의 편차는 B학급의 학생들보다 더 심하다는 사실을 알 수 있습니다.
A학급의 학생들은 점수 분포가 잘난사람은 더 잘나가는 경향이 있고 못친 사람은 더 못친 경향이 있습니다.
B학급의 학생들은 점수 분포가 A학급 학생들보다는 오밀조밀하다는 의미입니다.
이렇게 A,B학급의 평균과 표준편차를 알기때문에 대략적으로 어떤 분포의 형태로 이루어져있는지는 쉽게 추정할 수 있습니다.
다만 각자의 개개별 성적 데이터를 평균과, 표준편차로 정보를 '압축'한 것이기 때문에
A학급에서 B학급보다 최고 점수가 높은 학생이 나왔는지?
와같은 정보들은 개별 성적 데이터를 평균과 표준편차로 '압축'을 하면서 소실된 정보입니다.
즉, 평균점수는 A학급이 높지만 최고점수자는 B학급에서 나왔다는 사실은 데이터를 하나하나 보지 않는이상 확인할 수 없는 사실이란 겁니다. 근사화 하면서 정보의 양이 줄어든 것입니다.
그렇다고 마냥 데이터를 일일이 뜯어보는 것도 좋은 일은 아닙니다.
세계적인 투자자 워렌버핏은 이런 말을 남겼습니다.
정확하게 맞히려다 완전히 빗나가는 것보다 대충이라도 맞히는 편이 낫다
즉, 근사화가 되었다고 마냥 나쁜 것도 아니고 데이터를 엄밀히 뜯어 본다고 마냥 좋은 일도 아닙니다. 각자의 장단점과 어디에 포커싱을 했는지를 아는 것이 더 중요합니다.
다시 켈리기준(kelly criterion)에 대한 이야기를 해보겠습니다.
켈리기준(kelly criterion)은 아주 민감한 함수입니다.
기대수익률을 1% 표준편차를 1% 바꾸는 것에 따라서 최적화 할 수 있는 투자비율 켈리기준이 드라마틱 하게 바뀝니다.
저기 예시에서 평균수익률을 11% -> 10%로만 바꿔도 f*값이 1.7777... 로 2.222...에 비해서 확연히 줄어듭니다.
또 켈리기준(kelly criterion) f* = (m - r) / (s^2)을 보고 뭔가 닮았다고 생각하지 않나요? 샤프비율과 무지 닮았습니다.
켈리기준은 샤프 비율(sharpe ratio = (m - r) / s )에 한번 더 표준편차를 나눠준 셈이기도 합니다.
켈리기준이 왜 샤프비율과 모습이 비슷한지에 대해서도 추후에 번외편으로 다뤄볼 예정입니다.
다음 글에서는 이 분포들의 "언더워터 기간을 어떻게 추정하여 계산해볼 것인가?"에 대해서 다뤄보도록 하겠습니다.
다음 글